Katrin Göring-Eckardt erzählt die ältesten, aufgewärmten Klimawandel-Kamellen und lässt sogar wieder den deutschen Hopfen sterben
Bei den Grünen wird jemandem, der auf der Rede-Kanzel steht, nicht widersprochen, sonst bekommt er „was auf die Fresse“:
Ruhrkultour: Grünes Milljöh – “Einfach mal die Fresse halten” Wer nicht pariert, wird niedergemacht,
wie es auf dem Parteitag sogar der GRÜNE Tübinger OC, Boris Palmer erfahren musste.
Das muss die durch den Abbruch ihres Theologiestudiums für Kanzelpredigten prädestinierte K. G. Eckardt motiviert haben, auch eine Kanzelpredigt zu halten. Diese wäre im Nirwana der Geschichte verschwunden, wenn Frau Eckardt nicht noch der Meinung gewesen wäre, auch über den Klimawandel etwas sagen zu müssen.

Bundesparteitag B90/Grüne: Rede von Katrin Göring-Eckardt am 17.06.2017 YouTube Video eingebettet. Falls der Aufruf nicht klappt, der Link: https://www.youtube.com/watch?v=rZSeO261B6Y
Liebe Frau Katrin Göring-Eckardt. Wenn das Ihre Belege sind, dann haben Sie belegt, dass es keinen Klimawandel gibt
Video ab 13:28: Katrin Göring-Eckardt … Dass entlang von Rhein und Ruhr und Elbe die Unwettergefahr steigt und Köln und Dresden immer wieder überflutet werden, oder dass selbst der deutsche Hopfen krank wird, weil es zu warm wird – ich meine, das Bier ist sogar in Gefahr – das ist relevant, liebe Freundinnen und Freunde …
Dass von diesen „Belegen“ nichts übrig bleibt, wenn man nur ein wenig nachsieht und nicht nur blind von irgendjemandem nachplappert, sei anbei gezeigt.
… entlang von Rhein und Ruhr und Elbe (steigt) die Unwettergefahr …
Unwettergefahren
Es ist schwierig, den Status von Unwettergefahren und seine Veränderung zu analysieren. Grund ist, dass die „amtlichen“ Informationsberichte, zum Beispiel des Umweltbundesamtes, zwar „Unwetter“ kennen, aber keine Daten dazu angeben. Der Grund ist einfach: Die Daten geben keinen Anstieg her, und da verzichten die amtlichen „Studien“ lieber auf „nicht klimawandelgerechte“ Darstellungen.
Im UBA Bericht mit 621 Seiten Umfang: [2] 24/2015 CLIMATE CHANGE Vulnerabilität Deutschlands gegenüber dem Klimawandel steht zum Beispiel Folgendes:
Nennung Unwetter: Zwei Mal, jedoch ohne Datenbezug
Nennung Unwettergefahr: Kein Eintrag
Angaben zu Extremereignissen sind nur in Möglichkeitsform gelistet und es wird zugegeben, dass auch diese nur auf unsichere Simulationen hin getroffen wurden: … Generell sind Aussagen zur zukünftigen Entwicklung von Extremereignissen mit hohen Unsicherheiten behaftet. Neben einer Zunahme von Temperaturextremen wird im Falle eines starken Wandels auch mit einer Zunahme von Starkregenereignissen und Hochwasserereignissen gerechnet. Für Hagel und Starkwind können dagegen keine belastbaren Aussagen getroffen werden. … Da jedoch zukünftige Klimawirkungen und das Auftreten von Extremereignissen aufgrund unsicherer Klimaprojektionen nur schwer abzuschätzen sind …
Das Wort „könnte“ steht im Bericht 533 Mal,
das Wort „unsicher“ 137 Mal.
Die nächste, umfangreiche, öffentliche Studie des Umweltbundesamtes: [3] 2015 Monitoringbericht Klimawandel, gibt gleich zu, dass es nichts (negatives) darüber sagen kann. Deshalb bringt es gar keine Daten dazu, sondern eine Statistik der Versicherungswirtschaft und ansonsten die „üblichen“ Vermutungen, dass es schlimm werden könnte, weil Simulationen es zeigen.
UBA 2015: [3] Der Zusammenhang zwischen Klimawandel und steigenden Schäden durch Unwetter gilt noch nicht als gesichert, allerdings sprechen viele Indizien dafür. So wird für die Zukunft von häufigeren und extremeren Starkniederschlagsereignissen ausgegangen, die Überschwemmungen zur Folge haben können. Für die Entwicklung der Häufigkeit und Intensität von Stürmen lässt sich derzeit in Deutschland allerdings noch kein klarer Trend erkennen. Auch Projektionen in die Zukunft sind im Gegensatz zu Temperaturvorhersagen schwierig
Auch in der Datenbank des weltgrößten Rückversicherers findet sich keine negative Hinterlegung,
Bild 2 Anzahl Winterstürme in Deutschland seit 1980 (leider gibt es keine Daten zu Sommerstürmen). Quelle: MuRe NatCat-Viewer
und andere, amtliche Daten weisen auch nichts aus, was die Aussagen von Frau Eckardt bestätigen könnte.

Bild 3 Mittlere Windspitzen in FfM und Kassel seit 1970. Quelle: [5] Hessisches Landesamt für Umwelt und Geologie (Wiesbaden, 2012)

Bild 4 Monatliche Extremtemperaturen FfM seit 1950 (horizontale Linien vom Autor ergänzt). Quelle: [5] Hessisches Landesamt für Umwelt und Geologie (Wiesbaden, 2012)
Amtliche Dokumente zeigen für Deutschland keinen Anstieg von „Unwettern“ an.
Niederschlag
Ein Bestandteil von „Unwetter“ ist häufig extremer Niederschlag. Deshalb die Nachschau, ob dieser negative Anzeichen eines Klimawandels zeigt.
Der vom DWD veröffentlichte Klimaatlas Deutschland zeigt nichts Negatives. Weder aktuell, noch in der Projektion für die Zukunft. Im Jahr 2016 wies der Niederschlag genau den Stand zu Beginn der Messreihe (1881) aus.

Bild 5 Niederschlagsverlauf Deutschland 1881 – 2016 Monatsauflösung mit Projektionen bis 2100. Quelle: DWD Klimaatlas Deutschland
Aufgelöst auf Nordrhein-Westfahlen, wozu das speziell genannte Köln und das Ruhrgebiet gehören, findet der DWD-Klimaatlas ebenfalls nichts Ungewöhnliches. Ausgerechnet in diesem – laut Frau Eckardt besonders betroffenem Bundesland – ist die Zukunftsprojektion zum Jahr 2100 noch langweiliger geradlinig, als für das gesamte Deutschland.
Der DWD geht in seinem „Nationaler Klimareport Deutschland 2016“ direkt auf Tage mit hohen Niederschlägen ein und berichtet auch dazu nichts Negatives, weder für Deutschland, noch für die ganze Welt:
Report: … Wird die Anzahl der Tage von mindestens 10 mm Niederschlag ausgezählt, so werden bei gleichzeitig großen jährlichen Schwankungen im Mittel über ganz Deutschland 21 Tage beobachtet. Diese Zahl hat sich in den letzten 135 Jahren kaum verändert.
Für Niederschlagsmengen von mehr als 20 mm pro Tag ist keine Änderung der Anzahl seit den 1950erJahren festzustellen.
Dem niederschlagsärmsten Winter mit 69 mm im Jahr 1890/91 steht der niederschlagsreichste Winter mit 304 mm im Jahr 1947/48 gegenüber. Normal sind 181 mm (Mittel 1961–1990).
Analysen der höchsten Tagesniederschläge je Jahr zeigen weltweit an vielen Stationen minimale Anstiege der extremen Niederschlagssummen. Bei nur wenigen Stationen (< 10 %) sind diese Trends signifikant.
Eine Detailrecherche des CLI zu Extremniederschlägen fand auch nichts davon:
Climate Service Center, Daniela Jacob at al.: Ergebnisse und Auswertungen der Recherche zur Entwicklung von Extremwetterereignissen in Deutschland

Bild 7 Anzahl der Tage mit mindestens 30 mm Niederschlag pro Jahr: Es gibt keinen langfristigen Trend; die Anzahl der Tage bleibt konstant.
Und wieder weist auch die so gerne angezogene Datenbank der Münchner Rückversicherung keinen negativen Klimawandeleinfluss aus.
Es gibt starke Schwankungen, aber keine erkennbare Zunahme solcher Ereignisse. Im Datenbank-Viewer der MuRe kann man die Daten nur noch bis 1980 zurück anzeigen. Zufällig hatte der Autor noch eine Kopie vor dieser Umstellung ab 1970. Damit ergänzt, verschwindet jeglicher, auch nur denkbare – negative – Klimawandeleinfluss mindestens für den Zeitraum ab 1970 völlig.

Bild 8 Daten der Münchner Rückversicherungsgesellschaft zu hydrologischen und meteorologischen Ereignissen in Deutschland seit 1970. Vom Autor aus zwei Zeitspannen des NatCat-Viewer zusammengesetzt.

Bild 9 Daten der Münchner Rückversicherungsgesellschaft zu Wetter-bedingten Ereignissen in Europa seit 1980
Fazit
Diese nochmals ganz aktuell recherchierten Daten zeigen, dass in Deutschland beim Niederschlag und Unwettern ein AGW-Klimawandel-bedingter, negativer Trend anhand der Messdaten in keinem Fall belegbar, eher sogar ausgeschlossen ist und man dies sogar für ganz Europa annehmen kann.
Es bestätigen sich damit wieder die schon oft durchgeführten Analysen:
EIKE 14.06.2017: Fake News: Diesmal Pfingstunwetter um Hildesheim – neue Einschläge des Klimawandels?
IKE 24.01.2017: Jahrtausendhochwasser am 01.06.2016 in Simbach – so entstehen Menetekel des Klimawandels
Einzig Computersimulationen und darauf basierende Vermutungen behaupten anderes – und denen wird geglaubt.
... und Köln und Dresden immer wieder überflutet werden
Köln und Dresden werden immer wieder überflutet. Das geschieht seit Beginn menschlicher Aufzeichnungen im Mittelalter. Von daher ist die Aussage der Frau Eckard immer richtig.
Frau Eckardt sagte es aber so, dass als würden sich diese regelmäßigen Überflutungen durch einen AGW-Klimawandel verstärken – und das ist eindeutig falsch!
Dresden und die Elbe
Ein Jeder wird sich an die Meldungen der letzten großen Überschwemmung von Dresen im Jahr 2002 erinnern. Kaum jemand aber daran, dass diese zwar ein selteneres, aber bei Weitem nicht einmaliges Ereignis war. So etwas kommt dort alle 50 … 100 Jahre vor.
Es kann also passieren, dass eine „Zwischengeneration“ davon verschont blieb und die inzwischen anstelle von Datenrecherchen übliche Befragung von Einheimischen [6] ergibt, dass so etwas (wie ein aktuelles Hochwasser) „noch nie in der Geschichte gewesen ist“.

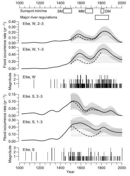
Bild 10 Hochwassermarken der Elbe bei Meißen (27 km unterhalb von Dresden), Stadtmuseum. Quelle: [1]
Originaltext zu Bild 12: Figure 7. Occurrence of Elbe floods during winter (W; November–April) and summer (S; May–October), for all flood magnitudes (classes 1–3) and heavy floods only (classes 2–3). Kernel estimation (section 3.2.2.2) using a bandwidth of 35 years is applied to the flood dates (shown as bar charts), obtained from measurements and C. Weikinn’s documentary data (section 2.1) to calculate time-dependent flood risks,b l(t) (solid lines) with bootstrap 90% confidence band (shaded). Records before 1500 are likely not homogeneous (no confidence bands shown). Occurrence rates using documentary entries from database CLIMDAT for 1500–1799 are shown as dashed lines. Also shown are time periods of sunspot minima (SM, Spo¨rer Minimum; MM, Maunder Minimum; DM, Dalton Minimum) taken from Kurths et al. [1997] and the time period of major regulations of the river Elbe.
Quelle: M. Mudelsee Department of Earth Sciences, Boston University, Boston, Massachusetts, USA: Extreme floods in central Europe over the past 500 years: Role of cyclone pathway ‘‘Zugstrasse Vb’’
Bild 12 (Magnitude Elbe, S) und Bild 13 (Bild 13 mit vom Autor zugefügten Wassermenge von 2002) zeigen die extremen Schwankungen hydrologischer Ereignisse, vor allem jedoch eine stetige Abnahme seit dem Temperaturanstieg aus der kleinen Zwischeneiszeit (welche bereits um ca. 1600 begann) und einen Beleg, dass die in den Klimasimulationen programmierte Aussage: Mehr Wärme = mehr Überschwemmungsereignisse, falsch ist.

Bild 13 Elbe, Fließmengen. Wert der Flut 2002 von 4.700 m3 nach vom Autor nach den Angaben in der Studie ergänzt. Quelle: MUDELSEE ET AL.: EXTREME FLOODS IN CENTRAL EUROPE
Dazu noch die überschwemmten Flächen damals und heute:

Bild 14 Überschwemmte Flächen durch Hochwasser bei Dresden. Quelle: Leibniz-Institut für ökologische Raumentwicklung e.V. Dresden
Köln und Rhein
Der Autor hatte bereits vor Längerem die Hochwasser-Pegeldaten einer Langzeit-Messstelle von Köln in eine Grafik umgesetzt. Kann daran irgend jemand (außer einer GRÜNEN Vorzeige-Politikerin) eine Zunahme durch den ominösen AGW-Klimawandel erkennen? Entweder sind die historischen und auch aktuellen Daten falsch, oder Frau Eckardt ….

Bild 15 Hochwasserpegel Köln 1784 – 2013 lt. Daten der Stadtentwässerungsbetriebe Köln AöR (Grafik aus den Tabellendaten vom Autor erstellt). Y-Achse: Rheinpegel (m).
Man stelle sich vor, die Kölner könnten noch einmal mit Booten „über ihre Stadtmauer fahren“, wie es 1342 möglich war. Der sofortige Weltuntergang würde ausgerufen werden.
Hochwasser Deutschland allgemein
DWD Klimastatusbericht 2003. Zur Temperatur- und Hochwasserentwicklung der letzten 1000 Jahre in Deutschland: Historische Hochwasser
“… Die Flut von 1501 kam, wie die von 2002, im August und wütete ebenfalls im Erzgebirge und in der Elb-Region. Für derartige Sommerfluten ist häufig dieselbe Wetterlage verantwortlich: Ein Atlantiktief lädt sich über dem Mittelmeer mit Wasserdampf auf, driftet dann nach Norden, wo es die Wassermassen über Mitteleuropa
ausklinkt.
Dieser Wetterprozess bewirkte nach Meinung des verstorbenen Meteorologen Rainer Roth von der Universität Hannover auch die „Sintflut“ von 1342, Magdalenen-Hochwasser“ genannt, da die Katastrophe am Sankt-Magdalenen-Tag, dem 21. Juli, auftrat. Das Zentrum der Niederschläge lag damals im Einzugsgebiet des Mains, also weiter westlich als beim Elbe-Hochwasser 2002. Würzburg, Frankfurt und Köln verzeichneten Rekordmarken, die seitdem nicht wieder erreicht wurden. In Würzburg riss das Wasser alle Brücken fort. Die Kölner konnten mit Booten über die Stadtmauer fahren. Wenn man also überhaupt von einer Jahrtausendflut sprechen will, dann war es die von 1342. Dieser Meinung ist auch der Hydrologe und Buchautor Martin Schmidt. In seiner Analyse der historischen Hochwasser im deutschen Rheingebiet kommt er zu dem überraschenden Schluss: „Die verfügbaren Informationen und Daten lassen das 20. Jahrhundert als eines erscheinen, das nicht einmal ein Jahrhunderthochwasser gehabt hat.“…”11
Daraus noch Hochwassermarken des Mains. Man muss weit nach unten suchen, um ein jüngeres Datum (das jüngste ist 1970) zu finden.

Bild 16 Hochwassermarken in Eibelstadt am Main. Quelle: DWD Klimastatusbericht 2003 Zur Temperatur- und Hochwasserentwicklung der letzten 1000 Jahre in Deutschland
Der Klimamonitoringbericht 2015 des UBA beschreibt die Hochwasserlage und Tendenz für Deutschland:
UBA: … Obwohl es im Betrachtungszeitraum mehrfach großflächige Hochwasserereignisse gegeben hat, ist kein signifikanter Trend abzulesen.
Als Ergebnis lässt sich nur feststellen, dass auch Hochwasserereignisse an den genannten Orten nicht entfernt durch einen AGW-Klimawandel zugenommen haben, oder dabei wären, es zu tun.
Fazit
Sehr geehrte Frau K. G. Eckardt. Sofern Sie, oder einer ihrer Mitarbeiter*innen dies lesen sollten. Fällt Ihnen auf, dass die Überschwemmungen in Deutschland zur Kaltzeit wesentlich schlimmer waren und die (geringfügige) Erwärmung auch hierzu ihren Segen mit einer mindestens niedrigeren Wiederholrate, meist jedoch auch zusätzlich niedrigeren Pegeln brachte?
Sofern Sie meinen, das wären (noch) zu wenig Belege, dann sehen Sie in den weiteren Recherchen dazu nach. Andere, als die zwei von Ihnen genannten Flüsse in Deutschland bestätigen es teils noch deutlicher:
EIKE 09.06.2016: An den Unwettern ist der Mensch eher nicht schuld – aber ganz sicher an deren Folgen
EIKE 29.10.2015: Kann man den Klimawandel in Deutschland wirklich täglich spüren? Eine Suche mit überraschendem Ergebnis
EIKE 21.11.2015: Die bayerische Umweltministerin Frau Scharf: Extremwetter, Extrem-Hochwasser und die Unberechenbarkeit des Wetters nehmen zu. Doch stimmt das wirklich?
Wie oft muss der Hopfen noch den (simulierten) Klimawandeltod sterben?
Es gibt wohl nichts, was eine*n GRÜNEN Vordenker*in dazu veranlassen könnte, sich an der Wirklichkeit zu orientieren.
Ein „Untergangsguru“, der zum Klimaalarmisten mutierte Professor H. Lesch, interpretierte eine Studie über Hopfen falsch:
EIKE 24.08.2016: Wenn der Hopfen nicht stirbt, stirbt dann der Klimawandel?
-und schon ist diese – einfach nur falsche – „Erkenntnis“ bei den Grünen nicht mehr auszurotten.
Bei EIKE einfach einmal nachzusehen, was dort darüber recherchiert und zusammengetragen wurde, ist für GRÜNE (Ver)Führungskräfte wohl nicht zumutbar, da dann ihr so schön gezimmertes Trugbild zusammenfallen müsste.
EIKE 22.08.2015: Grüne Abgeordnete Barbara Höhn durch Fakten widerlegt: Der Hopfenertrag steigt trotz Klimawandel
EIKE 31.08.2016: Schlechte Erntejahre kommen ganz offenbar immer häufiger
In der freien Natur ging es dem Hopfen noch nie besser als heute
Mit dem Klimawandel ist der Ertrag nach Aussage des zuständigen Verbandes geradezu explodiert, während man um 1920 überlegte, den Anbau mangels Ertrag in Deutschland ganz einzustellen. Das jedenfalls zeigen die Ertragsgrafiken und sagte man auf einer Verbandstagung.

Bild 20 Hopfenertrag Deutschland (schwarz) mit 10-Jahres Mittelwert (rot) lt. Daten der LfL Jahresberichte Sonderkultur Hopfen (nur die von 2016 sind aus der Zeitung), ergänzt um die Differenz zum 10-Jahres-Mittelwert (gelb), rechte Achse (%)
Vortrag von Michael Doetsch, Paulaner Brauerei GmbH & Co. KG: [4] Verbesserung des Hopfenanbaus seit 1975
-Steigerung der Produktivität pro ha um das 8fache
-infolge des in Hüll entwickelten Prognosemodells zusammen mit den in Hüll gezüchteten Sorten (Magnum und Taurus als Beispiel) heute pro kg Alpha nur noch 4 % der Spritzmenge ausgebracht werden muss im Vergleich zu 1975. Bei Herkules sogar nur 3 %
-Infolge der Erhöhung des ha-Ertrages und der damit einhergehenden Reduzierung des Arbeitseinsatzes – dieser hat sich in dem Zeitraum von 1975 bis heute von 650 h/ha/Jahr auf rd. 200 h/ha/Jahr, d. h. rund 70 % reduziert! – war es möglich, in dem Wettbewerb mit den Billiglohnländern auf der einen Seite und dem fast schon industrialisierten Hopfenanbau in den USA auf der anderen zu bestehen, ja sogar die Nase vorn zu behalten.
Dass dies nicht nur für den Hopfen zutrifft, zeigt noch das folgende Bild.
Doch gibt es einen möglichen Grund für in Zukunft sinkende Erträge: Der Übergang zu Niedrig-Gerüstsystemen [4]. Da man dafür andere Hopfensorten verwenden muss, sinkt dann zwar der Ertrag, aber noch deutlicher die Kosten, so dass es sich in Summe lohnen soll.
Nicht vergessen darf man, dass es der Hopfen im Sommer auch feucht liebt, ein Grund weshalb er in feuchteren, aber auch für Hagel anfällige Gegenden angebaut wird. Das Feuchte gefällt jedoch auch den Schadpilzen und Ungeziefer. Pestizide werden aber zunehmend verboten. Auch ein Problem, welches der Mensch, aber nicht der Klimawandel verursacht.
Wenn es so weit kommt, wird an der Ertragsminderung bestimmt der Klimawandel schuld sein.
Es könnte natürlich auch einmal sein, dass die Kälte wie um 1975 wieder kommt, als die „Wissenschaftler“ sich sicher waren, dass die nächste Eiszeit begonnen hat. Dann könnte der Hopfen wieder auf ein Achtel des aktuellen Ertrages zurück-geschrumpft sein. Die Hopfenbauern werden sich dann freuen, weil damit der von den GRÜNEN herbeigesehnte „natürliche Idealzustand“ erreicht ist.
… das ist relevant, liebe Freundinnen und Freunde
Dass (auch) die GRÜNE Führungsriege ihre Wähler nach Strich und Faden belügt, ist mit dem Video auf YouTube: „Ihr habt keine Ahnung, Kretschmann“ [7], in dem ein Tischgespräch von Herrn Kretschmann mit seinem Nachbarn auf dem Parteitag unbemerkt aufgenommen wurde, demonstrativ gezeigt (Özdemir erklärt in die Kamera, wie einig man sich Im Führungskreis auch mit Kretschmann gewesen sei. Im aufgenommenen Tischgespräch erzählte Herr Kretschmann seinem Tischnachbarn darüber jedoch genau das Gegenteil).
Das kann passieren (dass so etwas durch einen blöden Zufall bekannt wird), weil es bei allen Parteien so sein wird.
Nur, weil der neue SPD-Messias aus Würselen, verkündete:
DIE WELT – Freitag, 26. Mai 2017: M. Schulz: … „Keine politische Kraft darf zu keiner Zeit falsche Nachrichten verbreiten“
wird sich die Politik bestimmt nicht ändern. Falls sich Herr Schulz selbst in Zukunft daran halten würde, könnte sich die Anzahl solcher Politiker in Berlin aber wenigstens deutlich erhöhen.
… denn ohne Untergangsandrohungen hätte unsere Partei keine Inhalte und keine Berechtigung mehr
Die Rede von Frau Eckardt zeigt aber erneut, wie arrogant von der obersten politischen Kaste die Parteimitglieder und das Wahlvolk zum Narren gehalten werden. Frau Eckardt hat diese Rede mit Sicherheit gut vorbereitet, um ihre Pointe mit dem Bier setzen zu können. Bei Interesse an Fakten wäre sie dabei ganz schnell auf die Wirklichkeit gestoßen – und hätte darauf verzichten müssen.
So etwas macht man bei den Grünen jedoch nicht. Denn diese halten auf Parteitagen sogar mit den Fakten noch schlimmer umgehende Vorträge von Prof. H. Lesch aus:
EIKE 01.01.2016: Harald Lesch trägt vor den GRÜNEN zum Klimawandel vor: Der Klimawandel ist kein Thema, das man ernsthaft bezweifeln kann,
-zudem hat es die GRÜNE, Barbara Höhn ja auch schon so gemacht:
EIKE 22.08.2015: Grüne Abgeordnete Barbara Höhn durch Fakten widerlegt: Der Hopfenertrag steigt trotz Klimawandel.
Wenn es zur „Belegführung“ der Ideologie erforderlich ist, beauftragt man bei willigen Nicht-Fachpersonen Studien, die das Unwahre in Wahrheit verwandeln:
EIKE 28.8.2015: Wenn Politologinnen „Klimastudien“ machen – zur „Klimastudie“ von Bündnis 90/Die Grünen,
wenn zur Untermauerung der Ideologie die dilettantisch und oberflächlich durchgeführten „Analysen“ der politischen „Wahrheitsfabrik“ nicht ausreichen:
EIKE 19.08.2016: Teil II: Vom Wissenschaftlichen Dienst veröffentlichte Klimainformation für Abgeordnete Rezension: Teil 2 (und Teil1)
Quellen
[1] WEB-Seite: Historische Hochwassermarken
[2] Umweltbundesamt: 24/2015 CLIMATE CHANGE Vulnerabilität Deutschlands gegenüber dem Klimawandel
[3] Umweltbundesamt: 2015 Monitoringbericht zur Deutschen Anpassungsstrategie an den Klimawandel
[4] Internationales Symposium: Hopfenanbau 2020 Wolnzach (5./6.5.2008; st)
[5] Hessisches Landesamt für Umwelt und Geologie (Wiesbaden, 2012), C. M. Weder: Erstellung einer Statistik über Extremereignisse und Klimaveränderungen in Hessen
[6] EIKE 10.05.2017: Die Volkshochschule Hannover und ihre Ausstellung: Wir alle sind Zeugen – Menschen im Klimawandel
[7] EIKE, 26.06.2017: Ein GRÜNER Spitzenpolitiker denkt heimlich – entlarvt den Unsinn der Elektroautos und nebenbei noch Lügen der Parteispitze























Wir freuen uns über Ihren Kommentar, bitten aber folgende Regeln zu beachten:
- Bitte geben Sie Ihren Namen an (Benutzerprofil) - Kommentare "von anonym" werden gelöscht.
- Vermeiden Sie Allgemeinplätze, Beleidigungen oder Fäkal- Sprache, es sei denn, dass sie in einem notwendigen Zitat enthalten oder für die Anmerkung wichtig sind. Vermeiden Sie Schmähreden, andauernde Wiederholungen und jede Form von Mißachtung von Gegnern. Auch lange Präsentationen von Amateur-Theorien bitten wir zu vermeiden.
- Bleiben Sie beim Thema des zu kommentierenden Beitrags. Gehen Sie in Diskussionen mit Bloggern anderer Meinung auf deren Argumente ein und weichen Sie nicht durch Eröffnen laufend neuer Themen aus. Beschränken Sie sich auf eine zumutbare Anzahl von Kommentaren pro Zeit. Versuchte Majorisierung unseres Kommentarblogs, wie z.B. durch extrem häufiges Posten, permanente Wiederholungen etc. (Forentrolle) wird von uns mit Sperren beantwortet.
- Sie können anderer Meinung sein, aber vermeiden Sie persönliche Angriffe.
- Drohungen werden ernst genommen und ggf. an die Strafverfolgungsbehörden weitergegeben.
- Spam und Werbung sind im Kommentarbereich nicht erlaubt.
Diese Richtlinien sind sehr allgemein und können nicht jede mögliche Situation abdecken. Nehmen Sie deshalb bitte nicht an, dass das EIKE Management mit Ihnen übereinstimmt oder sonst Ihre Anmerkungen gutheißt. Wir behalten uns jederzeit das Recht vor, Anmerkungen zu filtern oder zu löschen oder zu bestreiten und dies ganz allein nach unserem Gutdünken. Wenn Sie finden, dass Ihre Anmerkung unpassend gefiltert wurde, schicken Sie uns bitte eine Mail über "Über Uns->Kontakt"Meine Güte! Ich habe mich gerade durch K. Göring-E.s Video gezappt. Sicherlich wie der Protagonist aus „Er ist wieder da!“ begeistert feststellte, die Grünen seien super, weil sie sich -sinngemäße“ ums „deutsche Natur- und Volkswohl“ sorgen würden, aber dennoch kommt mir das so sektiererisch vor, dass ich mir echt Sorgen mache: Ist das noch im Bereich einer Partei oder schon eine Glaubensgemeinschaft? Möglicherweise Nazis? 😉
Vor kurzem hatte ich auf Facebook eine Diskusion. Da behauptete jemand doch tatsächlich, dass die Weltmeere an bestimmten Gebieten höher ansteigen, als in der Nordsee. Nur in der Nordsee gibt es keinen Pegelanstieg, sonst wäre der Strand in Skagen und die Häuser dort schon längst unter Wasser. Ein schönes Beispiel sind auch die Pegelmessstationen und deren Daten der gesammten Nordsee und dem Atlantik, dass sich absolut nichts verändert hat.
Viele Deutsche gehen regelmässig nach Mallorca. Diesen müsste doch aufgefallen sein, dass die Strände auch nach 10 oder 15 Jahren noch gleich aussehen, bzw. der Wasserpegel des Mittelmeers sich in keinster Weise veränderte. Dennoch gibt es solche, die dort waren und kaum sind diese zurück in Deutschland, behaupten sie irgendwelchen Schwachsinn.
Das kann nur einen Grund haben, diese Leute verbrachten Ihre Zeit auf Malle im Vollsuff.
René Funk
Wie Kann es sein, dass wir die Wetterunbilden schlimmer empfinden als früher?
Wie kann es sein, dass wir die Winter als wärmer empfinden als früher?
Wie kann es sein, dass wir die Jahre insgesamt trockener empfinden als früher?
Frage 1 hat Herr Kuntz gut beantwortet, ergänzend: wir informieren uns heute über die Medien und die übertreiben halt. Jeder Redakteur hat den Hang zur Übertreibung, weil dann sein Artikel auch abgedruckt wird, viele freien Mitarbeiter werden nach der Zeilenanzahl bezahlt. Zu den beiden anderen Fragen:
Wir leben immer mehr in den Ortschaften und Siedlungen, die freie Natur ist immer wenigerr unser Lebensraum. Die Straßen in den Ortschaften trocknen sofort ab, das Regenwasser wird sofort abgeleitet. Wenns regnet sind wir in den Häusern und laufen nicht mehr mit dem Regenschirm rum. Der Regenschirm hat eh ausgedient – ich habe gar keinen mehr- weil es gute Regenkleidung gibt. In der Stadt sind viele Fußgängerzonen sogar teilweise überdacht, damit der Einkaufsbummel nicht mehr unterbrochen werden muss. Wir nehmen den Regen überhaupt nicht mehr in unserem Bewußtsein wahr.
Dasselbe gilt für den Schnee. In meiner Kindheit hatte Hüttlingen keine Schneeschieber, die Siedlungsstraßen blieben voller Schnee und wurden allmählich dann von den Anwohnern selbst freigeräumt. Es war halt Winter. Im Gedächtnis blieb die viele Arbeit des Schneeräumens. Wegsalzen gabs überhaupt nicht in meiner Kindheit, auf den Siedlungsstraßen blieb eine dünne Schneedecke, nur ein Weg wurde mit Asche gestreut. Auf den Straßen wurde der Schnee dann festgetrampelt, man konnte bald in den Straßen meiner Siedlung Schlittenfahren und Schlittschuhlaufen. Junge Mütter schoben keine Kinderwagen in der Gegend rum, sondern zogen Kinderschlitten mit Babyaufsatz.
So blieb dann die Erinnerung in meinem Kopf, dass die Winter in meiner Kindheit kälter und schneereicher waren, einfach weil ich viele tägliche Schneeerlebnisse in Erinnerung habe. Natürlich war auch der Kocher zugefroren, heute wird dieser Fluss selbst bei diesem kalten Januar 2017 nicht mehr 0C kalt, weil dermaßen viel Abwärme eingeleitet wird. In Wasseralfingen mißt mein Freund oft bei seinem Biotop „im Kies“ die Wassertemperatur des Kochers, sie liegt meist bei +4C. Mein täglicher Lebenslauf zeigt mir stets aufs Neue, es gibt Klimaveränderung, aber nur in den von den Menschen geschaffenen Wärmeinseln, die täglich zunehmen. Bei meinem Heimatort ist inzwischen eine Überbauung von 18% erreicht. Die Bepflasterung der neu gestalteten und vergrößerten Ortsmitte wird an heißen Tagen 45 C heiß. Natürlich ist der Ortsbach dort längst verdohlt und bingt keine sommerliche Kühlung mehr, in der Bachstrasse gibts keinen Bach mehr, „In der Pfitze“ stehen keine Pfützen mehr im Brühl keine Spur mehr von Bruchwald und im Wasserstall/Teich gibts weder stehendes Gewässer noch Teiche. Überall Häuser und Straßen. Das ist die menschengemachte Erwärmung in den Wärmeinseln, wo die Menschen leben und arbeiten und das hat alles nichts mit einem CO2-Treibhausgas-Klimawandel zu tun
Auch an kalten Sommertagen fällt diese dann nicht unter 20C, meine letzte Kocherwanderung mit 8 Kindern war letzten Freitag: 22C.
Fazit meiner 66 Lebensjahre:
In der Stadt ändert sich einiges im Umfeld, was bei den Menschen zu einer veränderten Wetterwahrnehmung führt. Im Grunde ändert sich aber am Klima kaum was, das merke ich bei meinen täglichen mehrstündigen Aufenthalten in der freien Natur. Die Märzenveilchen blühen Ende März, Anemonen und Lerchensporn Anfang April, die Apfelbäume Mitte Mai, die Pfingstrosen an Pfingsten, der Fingerhut Anfang Juni. So war es bereits in meiner Kindheit am selben Ortsrand, wo ich heute auch noch wohne. Ein wirklicher Naturschützer bleibt zuhause und ist zugleich auch Naturbeobachter.
Man sollte ebenso dreist sein, wie G.E. und die steigenden Weizenerträge in Bild 21 mit dem Anstieg von CO2 in Beziehung setzen.
Soll sie es doch falsifizieren, wenn sie kann
Lieber Herr Kuntz
Vielen Dank für den wiederum ausführlichen und gut argumentierten Artikel. Auch hier gilt „Steter Tropfen höhlt den Stein“ auch wenn ihn kaum ein „Grüner“ aus Mangel an Intelligenz lesen wird. Vielleicht ein Rat: Teilen Sie so lange Artikel doch in 2 Teile auf, erst was über den Blödsinn der grünen Ministrantin mit Studiumabbruch, vielleicht ein Sammlung der geistigen Falschergüsse und im Teil 2 die Fakten. Früher sagte man oft abfällig über Frauen, zwar schön, aber dumm. bei dem Sammelsurium an Bundestags-Pumukeln paßt auch wüst und trotzdem dumm. Demnächst fordern die in ihrem 10 Punkte Wahlprogramm Dummheit für alle, da nun ein Punkt weggefallen ist.
Lieber Herr Kuntz,
wie Sie hier eimerweise Perlen vor die Säue werfen, das grenzt schon an Masochismus und erinnert mich an eine heftige Diskussion vor rund 50 Jahren mit einem Dozenten des Marxismus / Leninismus (Diplomphysiker übrigens!) über Weltmodelle auf dem Hintergrund der Allgemeinen Relativitätstheorie. Seine Argumentation beschränkte sich auf Marx/Engels-Zitate und mir dämmerte, daß Unterhaltungen über Farbe mit Blinden nur sinnlose Zeitverschwendung sind.
Ich wohne nahe am Rhein, das letzte nennenswerte Hochwasser hier war: 1995! Von wegen immer mehr und immer höher…..
Dass die Grünen so handeln, ist ein zutiefst menschlicher Zug. Der Mensch ist ein soziales Wesen, dass positive Erlebnisse sucht. Es ist ein angenehmes Erlebnis, wenn man auf etwas trifft, das die eigene Meinung bestätigt.
Wissenschaftliches, d.h. auf nachprüfbare Fakten beruhendes, und immer kritisch nachprüfbares Denken wird heute kaum noch gelehrt.
Aber natürlich passiert das auch Skeptikern. Wie z.B. die „Es gibt keinen Treibhauseffekt“-Fraktion auf Eike. Alle Informationen, die ich dazu erhielt, bestanden aus Halbwahrheiten, Trugschlüssen und Fehleinschätzungen.
Klar und logisch zu denken, ist nicht einfach – auch nicht für hochintelligente Menschen. Man sucht das was man erwartet.
Sehr geehrter Herr Herbst,
danke dass Sie hier die Treibhaushypothese so hoch halten.
Bislang habe ich noch keinen einzigen Beweis für die Richtigkeit gefunden, jedoch viele die dagegen sprechen. Angefangen allein mit der Tatsache, das „Klima“ die Statistik des vergangenen Wetters ist.
Also, Sie behaupten, mit ein wenig CO2 (im 0,000 % Bereich), können Sie das Wetter morgen beeinflussen?
Aber das hatten wir schon viele Male hier auf Eike.
Herr herbst,
ich habe Sie schon mehrfach gefragt, welche wissenschaftliche Qualifikation haben Sie, um beurteilen zu können, was Trugschlüße, halbwahrheiten usw. hinsichtlich des THE sind. Bisher haben Sie darauf nie geantwortet. ich schließe daraus, daß sie keinerlei wissenschaftliche Qualifikation haben, die Sie zu solchen Urteilen befähigt. Sie sind nichts als ein weiterer Troll hier.
Nun Frau E.G rechnet wohl offensichtlich mit einer Kaltzeit, die ansteht und da Co2 bekanntlich alles kann, ist natürlich das durch den Menschen emittierte CO2 auch an der Kaltzeit Schuld.
Bei den Grünen ist Hopfen und Malz vollständig verloren. Die größte Menschenverachtung, die ich bisher erfahren musste, kam von den Grünen.
Die USA und China haben übrigens exzellente Hopfenanbaugebiete, und was wären „Craft-Biere“ ohne den Cascade-Hopfen…..